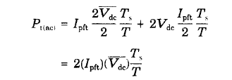
MOS功率開關管損耗2.2.12.1 交流開關 (電流電壓間的 “堆疊”) 損耗由于在 T=O 后很短的時間內 ,電感呈現無量大阻抗 ,所以變壓器漏感會使集電極電壓下 降很快。雖然電感上的電流不能突變 ,流過漏感的電流上升遲緩 ,但導通時降落電壓和上升 電流之間堆疊很少,跨導通時開關損耗能夠疏忽 。而關斷時 ,如圖 1.5 C b ) 中針對 buck 調整器 所做的假定 ,最差狀況下兩者之間會有顯著的堆疊 。詳細細節如圖 2.8 所示,假定在電壓上 升到其最大值 2飛 的時間T.r 內,電流堅持為其等效平頂坡脈沖幅值/p血 ( 2.2.10.1 節)。在電 流從降落到零的時間兀 內,mOS電路電壓堅持為 2匯 。設T盯=1;;f 宅 ,開關周期為 T,則每個開關 管在一個周期內的總開關損耗 F'i(ac) 為
依據式 ( 2.9 ) ,可得


2.8 1ft挽MOS開關管的變變 ,即 “ 堆疊” 開關損耗。導通時開關損耗口j疏忽,由于變壓器漏感招致電&降落時間很短,電流 七升時間很長 ,使得 F降電壓和L:Jl屯ifri之間.辛辛很少 。關斷時口J能呈現的最壞狀況 為,直到電壓卜升至 2瓦 時,電流仍維持在其峰值 I,街 不變:電流F降期間 ( 兀 ),電壓堅持在2匯 不變.

圖 2.14 交錯正激變換器 。QI 和 Q2 每半周期交替導通 ,次級輸出相加使 每周期有兩個功率脈沖 ,且避免了推挽拓撲的磁通不平衡問題

